Please enter a valid location
-Stems -Petioles
-Leaves -Pods
-Seeds -Fallen Leaves/Petioles
Catch container used to collect all fallen leaves and petioles throughout the growing season from each plot.
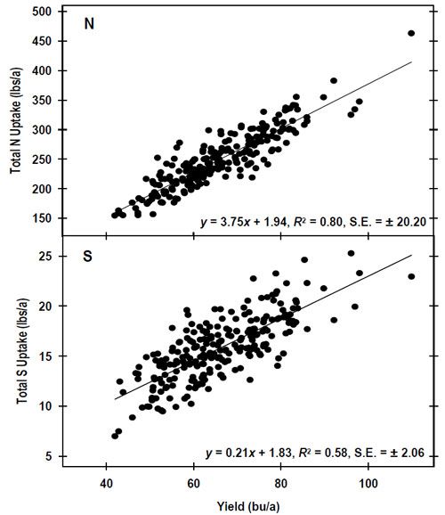
Figure 1. Total whole plant N and S uptake at growth stage R8 (full maturity) across all environments and varieties.
Figure 2. N and S uptake rate through the growing season for a 66 bu/acre soybean crop. Duration of peak uptake is represented by the horizontal black line.
Figure 3. N and S uptake, partitioning, and remobilization through the growing season for a 66 bu/acre soybean crop.
Figure 4. Total N and S removal with the seed at growth stage R8 (full maturity) across all environments and varieties.
Research conducted by Adam Gaspar and Shawn Conley, University of Wisconsin-Madison as a part of the Pioneer Crop Management Research Awards (CMRA) Program. This program provides funds for agronomic and precision farming studies by university and USDA cooperators throughout North America. The awards extend for up to four years and address crop management information needs of Pioneer agronomists, Pioneer sales professionals and customers.

The foregoing is provided for informational use only. Please contact your Pioneer sales professional for information and suggestions specific to your operation. 2015 data are based on average of all comparisons made in six environments through Dec 31, 2015. Multi-year and multi-location is a better predictor of future performance. Do not use these or any other data from a limited number of trials as a significant factor in product selection. Product responses are variable and subject to a variety of environmental, disease, and pest pressures. Individual results may vary. Pioneer® brand products are provided subject to the terms and conditions of purchase which are part of the labeling and purchase documents.